Quick Reference Guide (1)
Release Note (1)
-
i.MX Application Processors v.25.09 Release Notes[MCUXCTIMXRN]
The Config Tools for i.MX is a suite of evaluation and configuration tools that help users from initial evaluation to production software development. Config Tools for i.MX is an easy-to-use way to configure the pins and DDR of the i.MX processor devices.
The Config Tools for i.MX is installed as a desktop tool which then loads additional device information through a network connection, but does otherwise not need internet connection. It does not require a project setup, as all the settings are stored in text and generated source files, which then can be easily stored in a version control system or exchanged with other users.
The Pins Tool makes pin configuration easier and faster with an intuitive and easy user interface, which then generates normal C code that can then be used in any C and C++ application. The Pins Tool configures pin signals from multiplexing (muxing) to the electrical properties of pins, and it also creates Device Tree Snippets Include (.dtsi) files and reports in CSV format.
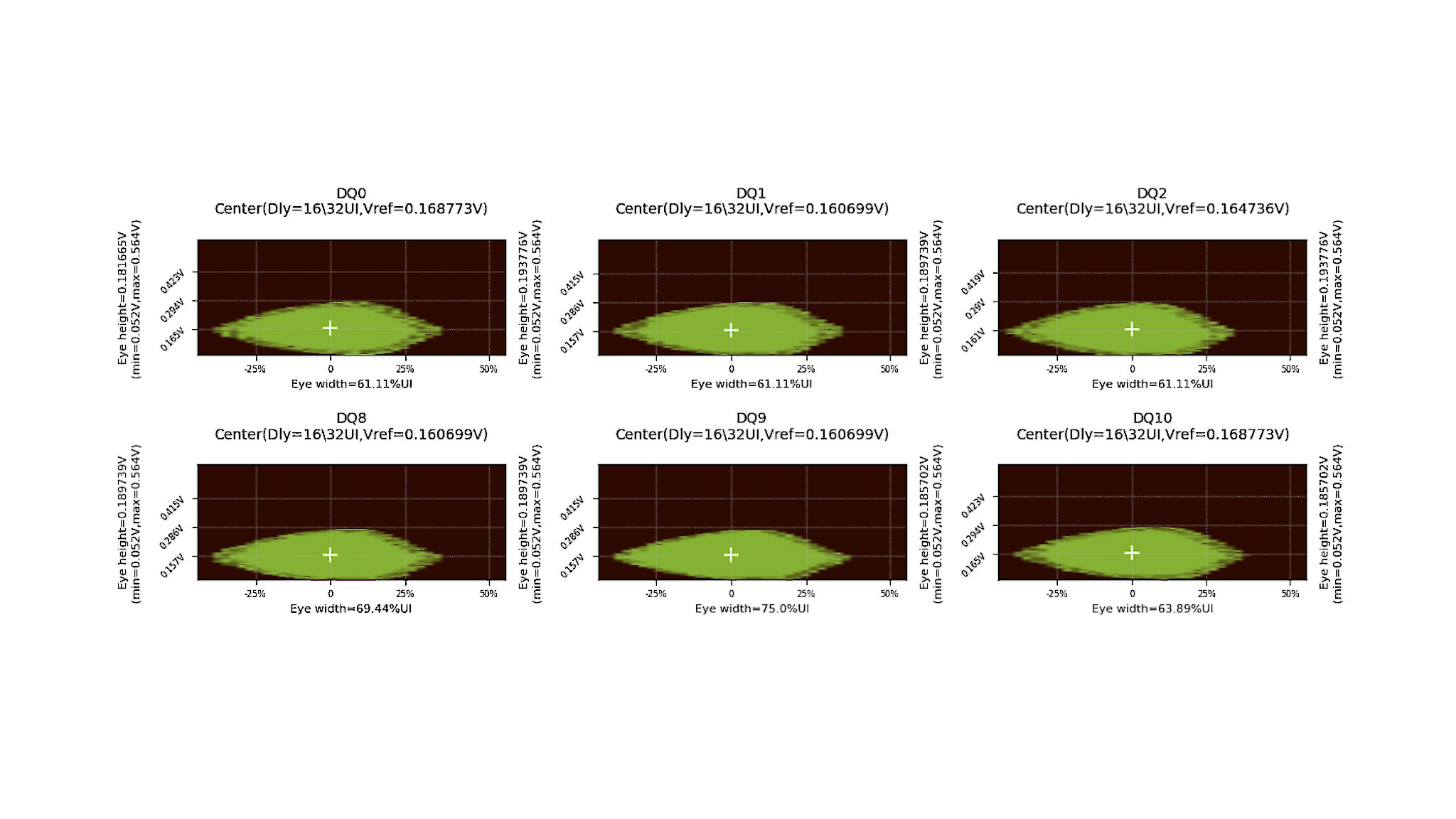
The DDR tool provides two main functionalities: configuration and validation. The DDR configuration provides a user-friendly graphical interface to configure the DDR controller and the DDR PHY. It can be used for tweaking some of the configuration parameters when you want to use different memory modules than the ones received with the board or when you want to optimize the configuration. DDR validation provides different scenarios to verify the DDR performance, by downloading a test image to the processor’s internal RAM through a USB connection. The result is sent to the DDR tool via the UART. DDR validation can help verify DDR stability on the board in a non-OS environment.
1-5 of 79 downloads
Note: For better experience, software downloads are recommended on desktop.
Please wait while your secure files are loading.
Quick reference to our documentation types
6 documents
Compact List
Please wait while your secure files are loading.
4 hardware offerings




29 trainings